What is stress after all?
February 18, 2013
By GARY E FORESMAN MD
(Editor’s note: This is part one in a five-part in a five-part series on stress management.)
This educational series is my attempt to clarify some salient issues involved with defining, understanding, and treating what is commonly known as “stress.” I am in a unique position as a physician and meditation instructor to define and give context to this truly modern-day epidemic. So we will begin by simply defining stress, or, perhaps more importantly, does stress define us?
Stress may be defined as any threat, real or perceived, external or internal. Let me define a real threat as a toxin, poison, or physical incident where perception plays a smaller role and adverse physiologic events proceed in a stereotyped fashion for nearly everyone exposed. Let me define a perceived threat as things such as relationships and emotions where our perception of them plays a much larger role in determining if the condition threatens.
Now, many of you may delineate between “good” and “bad” stress, yet we know that the physiologic consequences of a marriage and a divorce are quite similar. Finding and losing a job are also similarly stressful. So then it is the perception of an event, external or internal, which leads to a cascade of chemical changes meant to help ready our bodies to battle this threat. These changes most typically involve the fight or flight response meant to help us kill or prevent ourselves from being killed. That some stress can improve function can be graphically represented in Figure 1:
An event can be a thought or a memory, indeed our own intellects may, on many levels, be our greatest threat to our own survival! An event may be a phone call, a creditor, or a cranky bank teller. An event may be a lion or tiger or bear.
What happens to us physiologically when these threats invade our day? Many key determinants play a role in our preparedness for any of these events. Knowledge, experience, and many physiologic factors will immediately tell you whether the event threatens. The subsequent physiologic cascade solely depends on your perception (conscious and subconscious) when it comes to psychological threats and, to a lesser extent, when it comes to physiological threats.
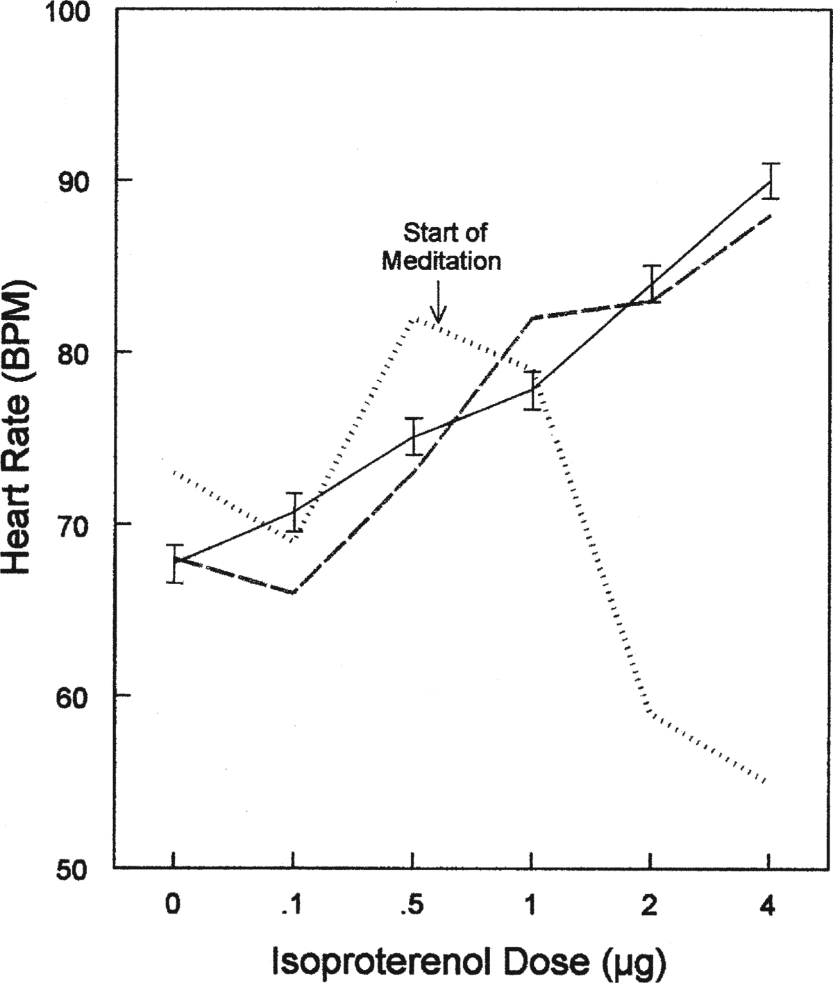
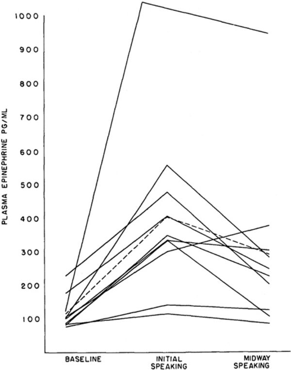
The next two figures demonstrate the autonomic response to perceived and real threats; note how dramatically the “self” plays a role in response to those threats.
Figure 2. Effect of Public Speaking on Plasma Epinephrine:
Plasma epinephrine response to different activities. Each line represents a single subject; the dotted line indicates the mean.
Images Courtesy of: Stress.org & J Am Coll Cardiol. 2009 April 1.
Figure 3. Effect of Meditation on HR Response to Infused Isoproterenol:
Effects of meditation on chronotropic responses to isoproterenol. (Solid line) Mean ± standard error response to isoproterenol in 93 women; (dotted line) patient’s response while meditating; (dashed line) patient’s response while instructed not to meditate. BPM = beats/min; HR = heart rate.
There are differences behaviorally between men and women when it comes to the enculturated responses as well as the hormonal responses that occur subsequent to the “fight or flight” phenomenon. This has become known as the “tend and befriend” response whereby women are more likely to nurture and develop alliances in response to physiologic arousal versus the more masculine “kill or be killed” behavioral response. A further understanding would be to note the primary drive to heal stress for women tends toward communion, whereby for men it is autonomy and “righteousness”. So how we achieve stability depends on our identification with the identification with our sex, our “tribe”.
Allostasis is the process of achieving stability, homeostasis, through physiologic or behavioral change. This term may be new to you but provides for a more comprehensive understanding of the neuroendocrine and immune changes necessary for your body to maintain stability both in response to and in anticipation of “threat”. We maintain stability through variability! The short-term benefits to adaptive allostatic changes (fight or flight responses) often come at the long-term expense of the organism, an accumulative threat known as allostatic load (the proverbial straws on the camel’s back).
Through this definition, stress becomes the accumulative adaptive allostatic changes of the organism both psychological and physical at the time of the threat, real or perceived. This more comprehensive definition allows us, requires us, to understand the history of that individual as reflected by his or her adaptive capacity at the time of the stress if we want to understand the spiritual, mental, and physical response that is “stress”. When we look at this definition we may not find it too far-fetched (maybe even spot-on) to describe stress as that which defines us.
Next in the series we will discuss stress reduction versus stress distraction.
Your Journey to Health and Healing, Gary E Foresman MD.










The comments below represent the opinion of the writer and do not represent the views or policies of CalCoastNews.com. Please address the Policies, events and arguments, not the person. Constructive debate is good; mockery, taunting, and name calling is not. Comment Guidelines